浙江师范大学本科教学部
浙师本通〔2022〕33号
![]()
关于推荐2022-2023学年赴首都师范大学
交流学习学生的通知
各学院:
为进一步深化本科人才培养模式改革,拓展学生专业视野和创新意识,提高人才培养质量。我校将选派部分品学兼优的学生赴首都师范大学等学校进行交流学习。现将有关事项通知如下:
一、交换学习期限
赴首都师范大学交换学习期限为2022-2023学年第一学期或2022-2023一学年。学生申报时先自行选择意向交换学习期限,实际交换期限以公布选派学生名单文件为准。
二、推荐对象
与交流学校专业(体育、艺术类、小语种专业除外)对应的我校专业在读本科20、21级学生。
▲首都师范大学专业目录表网址:https://jwc.cnu.edu.cn/jxzl/zyjs/e4e2300af1c54c2cbdfdb0363b932a32.htm
三、推荐条件
品学兼优,身心健康。平均学分绩点排名原则上在专业全年级前50%以内。
四、推荐名额
各学院推荐名额详见附件1。
五、工作流程
(一)学院根据专业特点和交换学校专业情况及要求,制定学院交换生推荐办法。
(二)申请交换的学生到教务处网站下载《浙江师范大学国内高校交换生申请表》(附件2),按要求填好后上交学院。拟转专业学生(教务处网站公示名单为准)本次暂缓申请。
(三)学院审核学生申请材料,根据推荐办法进行推荐,按学院推荐名额表中的名额数确定推荐人选和预备人选,排序后在学院内公示2天。
(四)学院公示结束后,于6月9日前将《浙江师范大学国内高校交换生推荐汇总表》(附件3)报本科教学部教务科,电子稿发至:jwk@zjnu.cn。
(五)本科教学部审核确定推荐人选,在教务处网站公示2天。公示结束后,本科教学部按照各交流高校交流学习的专业要求完成后续工作。
请各学院及时做好相关工作。
本科教学部
2022年5月30日
附件1
各学院推荐名额及推荐要求表
学院 | 首都师范大学 | 备 注 | |
推荐名额 | 预备名额 | ||
经济与管理学院、中非国际商学院 | 1 |
| 因赴首都师范大学交换生名额为10名,教务处将根据推荐名额人选的平均学分绩点专业排名标准分X(计算公式见注3)顺序选送前10名同学赴首都师范大学交换学习。如推荐人选不足10名,将按照预备名额人选的平均学分绩点专业排名标准分X顺序补足10名。 初阳学院实行“1+3”人才培养模式,不设推荐名额;体育、音乐、美术学院专业不在推荐范围,不设推荐名额;工学院与首都师范大学无对应专业,不设推荐名额;无师范专业学院不设预备名额。
|
法政学院 | 1 |
| |
马克思主义学院 | 1 | 1 | |
教育学院 | 1 | 1 | |
幼师学院 | 1 | 1 | |
人文学院 | 1 | 1 | |
外语学院 | 1 | 1 | |
文传学院 | 1 |
| |
数计学院 | 1 | 1 | |
物电学院 | 1 | 1 | |
生化学院 | 1 | 1 | |
地理环境学院 | 1 | 1 | |
国际学院 | 1 | 1 | |
合计 | 13 | 10 | |
注:1.费用:交换生按我校规定标准在我校缴纳学费和住宿费。
2.能否如期进行交换学习,视疫情情况而定。
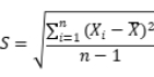
3.标准分X,X=(Xi -`X)/S
①Xi = 该生的平均学分绩点(GPA)
②`X = (X1+X2+....+Xn)/n(`X为本专业年级平均学分绩点的平均值,n为专业年级总人数)
③S为标准差,
附件2
浙江师范大学国内高校交换生申请表
学院 |
| 专业 |
| 年级 |
|
姓名 |
| 学号 |
| 性别 |
|
电子信箱 |
| 手机号码 |
| ||
交流高校 |
| 交流期限(意向) □ 22-23学年第一学期 □ 22-23一学年 | |||
成绩排名 | 本年级专业共 人排第 名 平均学分绩点GPA: | ||||
自我陈述 (在校表现情况、获奖情况等,附佐证材料) |
(可另页填写) | ||||
—— 本 栏 以 上 由 学 生 本 人 填 写, 学 院 教 务 办 审 核 —— 教务办审核人签名: 年 月 日 | |||||
所在 学院 审核 意见 |
分管院长(签名): (加盖学院公章) 年 月 日 | ||||
注:实际交换学习期限为一学期或一学年,待汇总全校申报数据后再与首都师大确定,以公布选派学生名单文件里的交换学习期限为准。
附件3
浙江师范大学国内高校交换生推荐汇总表(交换高校: 首都师范大学 )
学院(盖章) 分管院长(签名): 填报人: 联系电话: 填报时间:
序号 | 学号 | 姓名 | 专业 | 平均学分 绩点 | 专业排名 (排名/人数) | 获奖情况 | 交换期限 | 手机号码 | 备注 |
1 |
|
|
|
|
|
|
|
|
|
2 |
|
|
|
|
|
|
|
|
|
3 |
|
|
|
|
|
|
|
|
|
4 |
|
|
|
|
|
|
|
|
|
5 |
|
|
|
|
|
|
|
|
|
注:首都师范大学有预备名额的学院,请在备注栏注明“预备”
